-
[모두를 위한 딥러닝] 12. RNN (Recurrent Neural Network)AI/모두를 위한 딥러닝 2020. 12. 11. 20:49
# RNN (Recurrent Neural Network)

출처: https://heung-bae-lee.github.io/2020/01/12/deep_learning_08/ Data는 여러가지 종류가 존재하는데, 그 중 Sequential data의 처리는 기존의 Neural Net이나 CNN으로 해결할 수 없다. Sequential data란 순서에 의미가 있어서 순서가 달리지면 의미가 손상되는 데이터를 말한다. Sequential data에는 음성 인식에서의 소리 신호, 세계 기온 변화 추이와 사례가 있는데, 특히 언어의 경우 문장은 하나의 단어뿐만 아니라 그 앞뒤의 단어들까지 고려해야 이해가 가능하다. 이러한 Sequential data를 처리하는 기법으로 RNN(Recurrent Neural Network)이 사용된다.

RNN에서는 입력으로 계산한 값이 그 다음 것에 영향을 주도록 구조화한다. 위 그림에서 입력 X0를 받아 Cell이라고 부르는 A에서 계산된 상태(state)를 그 다음 입력 X1으로 계산된 A에 전달하는 것이 이에 해당한다. 즉 어떤 시점에서 무언가를 계산할 때, 이전 시점의 것들이 영향을 미친다는 점에서 Sequential data를 처리하는데 적합하다.

새로운 state를 연산하는 방법은 위의 공식과 같다. Input X와 이전 시점의 state에 가중치 W와 관련된 함수를 연산해주면 새로운 state의 값을 구할 수 있다. RNN에는 모든 state에 똑같은 공식이 적용되므로 위 그림의 모델처럼 순환 화살표 표시를한다.
# Vanila RNN

RNN의 가장 기본적인 형태는 위의 공식을 사용한다. 새로운 state를 연산하기 위해 이전 state와 input X에 각각 다른 가중치를 기존 회귀식같이 WX형태로 곱해주고 두 값을 더한다. 그리고 더한 값에 tanh 함수를 활성화함수로 사용해 새로운 state를 구한다. Output Y를 구할 때도 비슷하게 또 다른 가중치 W를 기존 WX 형태로 곱해주면 된다.
이 연산에서 사용하는 가중치 Wh, Wxh, Why는 어떤 state를 구할 때라도 항상 같다는 점을 주의하자.

단순한 신경망은 표현력에 한계가 있지만 RNN을 사용한다면 활용 범위가 크게 넓어진다.
· One to Many: Image Captioning (이미지를 인식하여 여러개의 문자열로 표현하는 분야)
· Many to One: Sentiment Anlaysis (여러 개의 문자열을 입력 받아 하나의 감성을 나타내는 문자열로 분석하는 분야)
· Many to Many: Machine Translation (여러 개의 문자열을 입력 받아 여러 개의 문자열로 번역하는 분야)
· Many to Many: Video Classification on frame level (여러 프레임을 입력 받아 여러 개의 문자열로 표현하는 분야)
이러한 방식으로 RNN도 다양한 형태를 띌 수 있는데, RNN이 보다 깊어지고 복잡해질수록 기존 신경망 모델과 마찬가지로 학습이 어려워지는 현상이 발생한다. 이를 극복하기 위한 Advanced Model로 조경현 교수님이 만든 GRU나 LSTM(Long Short Term Memory)이 존재한다.
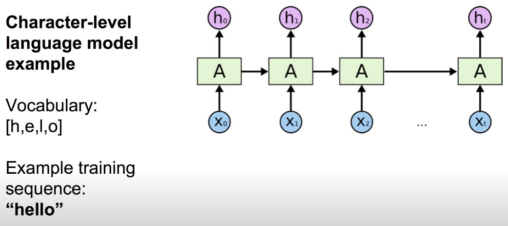
# Hello의 예

RNN 모델에 단어 'hello'를 학습시키는 예를 살펴 보자. 'hello'는 철자 단위로 모델을 학습시킬 수 있다. X0에 'h', X1에 'e', X2에 'l', X3에 'l'을 입력으로 넣고 입력된 철자 다음으로 나올 철자를 예측하도록 설계할 수 있다. 이 경우 h0는 'e', h1은 'l', h2는 'l', h3은 'o'를 output으로 예측한다.

이 때, 위 그림처럼 고정된 값 Whh, Wxh, Why를 가중치로 사용하여 각 input의 state를 연산하고 output Y를 출력한다. Input X의 경우 one-hot 인코딩을 통해 철자를 표현하는게 일반적이고 output은 softmax를 통해 철자 예측을 진행하면 되는데, 모델의 학습 역시 기존의 softmax에 대한 cost 함수를 사용해 진행하면 된다.
본 포스팅은 김성훈 교수님의 강의
'모두를 위한 딥러닝'을 학습하고 정리한 내용을 담고 있습니다.
'AI > 모두를 위한 딥러닝' 카테고리의 다른 글
[모두를 위한 딥러닝] 11. CNN (Convolutional Neural Network) (0) 2020.12.09 [모두를 위한 딥러닝] 10-3. Dropout과 Ensemble (0) 2020.12.08 [모두를 위한 딥러닝] 10-2. Weight initialization (0) 2020.12.08 [모두를 위한 딥러닝] 10-1. ReLU 함수 (0) 2020.12.07 [모두를 위한 딥러닝] 9. 딥러닝으로 XOR 문제 풀기 (0) 2020.12.02