-
[모두를 위한 딥러닝] 7. Learning rate, Overfitting and RegularizationAI/모두를 위한 딥러닝 2020. 12. 1. 18:32
# Learning rate (학습률)

Gradient Descent를 진행할 때, 각 step마다 어느 정도씩 진행할지 Learning rate(학습률)을 지정하여 설정할 수 있다. (위 그림에서 알파값이 학습률을 나타낸다.)


학습률을 너무 큰 값으로 설정하면 스텝마다 큰 폭으로 학습이 진행되어 왼쪽 그림처럼 w값이 발산해버리는 오버슈팅(Overshooting) 문제가 발생할 수 있다. 반대로 학습률을 너무 작은 값으로 설정하면 스텝마다 작은 폭으로 학습이 진행돼 오른쪽 그림처럼 학습이 더뎌지는 문제가 발생한다. 학습률 설정에 정답은 없지만 처음에 0.01의 학습률을 설정하고 양상에 따라 조절하는 것도 한 방법이 될 수 있다.
# 데이터 전처리 (Preprocessing)

데이터들을 다루다보면 x data에 해당하는 각각의 변수들의 값의 범위가 서로 크게 차이날 수 있다. 이러한 경우 적절한 학습률을 설정해도 오버피팅이나 언더피팅이 발생할 수 있는데, x data를 적절하게 전처리(Preprocessing)해주면 다시 정상적으로 학습시킬 수 있다. 이러한 전처리는 보통 zero-centered를 통해 원래의 데이터를 0을 중심으로 분포하게 만들거나, Normalization을 통해 변수 값의 범위를 특정 범위에 속하게 만드는 방법들이 있다.

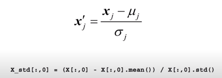
이러한 normalize의 대표적인 예 중 하나가 표준화(Standardization)이다. 기존의 data에서 그 평균을 빼고 표준편차로 나눠주면 data는 표준정규분포를 따르게 되어 특정 범위 내에 분포하게 된다. 고등학교에서 통계 과목을 배울 때, 자주 봤던 이 개념을 사용해 data를 표준화시키면 정상적인 학습 진행에 큰 도움을 준다.
# 오버피팅 (Overfitting)

학습시킨 모델이 training data(학습 데이터)에서만 너무 잘 맞아서 test data나 실제 문제에서는 좋은 성능을 발휘하지 못하는 현상을 오버피팅(Overfitting)이라고 한다. 오른쪽 그림은 학습 데이터에서 +와 -를 완벽하게 가르지만 실제 문제를 다룰 때는 +와 -를 나누는 성능이 왼쪽 그림에 비해 더 떨어질 수 있다. 이 경우엔 오버피팅 문제가 없는 왼쪽 모델이 더 성능이 좋으므로 모델을 학습시킬 땐 항상 오버피팅에 대해 경계해야 한다.
오버피팅의 해결책으로는 1. training data를 더 많이 확보하는 것 2. feature의 개수를 줄이는 것(=x변수를 줄이는 것) 3. Regularization시키는 것 등이 있다.
# Regularization
Regularization이란 데이터를 가르는 모델의 구불구불한 선을 조금 더 평탄하게 만드는 것을 의미한다. 보통 가중치 w의 값이 커질수록 모델의 선이 구불구불해지고, w의 값이 작아질수록 모델의 선이 평탄하게 뻗게 된다. 가중치 w 값을 보다 작게 하여 모델의 선을 적당히 평탄하게 만드는 Regularization을 통해 오버피팅을 어느정도 줄일 수 있다.

Regularization은 cost 함수에 위 식을 더해주는 것으로서 구현하고 이를 L2 Regularization이라고 부른다. 맨 왼쪽의 람다 변수는 regularization strength라고 불리는데, 이 값이 0에 가까울수록 Regularization의 영향을 적게 한다는 의미고 이 값이 커질수록 Regularization의 영향력을 크게 한다는 의미이다. 이를 통해 가중치 값을 낮추고 오버피팅을 어느정도 극복할 수 있다.
본 포스팅은 김성훈 교수님의 강의
'모두를 위한 딥러닝'을 학습하고 정리한 내용을 담고 있습니다.
'AI > 모두를 위한 딥러닝' 카테고리의 다른 글
[모두를 위한 딥러닝] 10-1. ReLU 함수 (0) 2020.12.07 [모두를 위한 딥러닝] 9. 딥러닝으로 XOR 문제 풀기 (0) 2020.12.02 [모두를 위한 딥러닝] 6. Multi-Class Classification - Softmax (0) 2020.12.01 [모두를 위한 딥러닝] 5. Logistic Regression (0) 2020.11.25 [모두를 위한 딥러닝] 4. multi-variable linear regression (0) 2020.11.25