-
[알고리즘] 다이나믹 프로그래밍 (Dynamic Programming)Computer Science/자료구조 & 알고리즘 2020. 11. 27. 20:14
# 다이나믹 프로그래밍 (Dynamic Programming)
현대에서 컴퓨터를 사용해도 해결하기 어려운 문제는 최적의 해를 구하는데 매우 많은 시간을 요하거나 메모리 공간을 매우 많이 요구하는 문제들이다. 그런데 어떠한 문제는 메모리 공간을 조금 더 사용하면 연산 속도를 비약적으로 상승시킬 수 있는 방법이 있다. 메모리를 적절히 사용하여 수행 시간 효율을 비약적으로 상승시키는 방법을 다이나믹 프로그래밍(Dynamic Programming)이라고 하며 동적 계획법이라고도 부른다.
다이나믹 프로그래밍은 1. 큰 문제를 작게 나누고, 2. 같은 문제라면 한 번 씩만 풀어 문제를 효율적으로 해결하는 알고리즘이다. 즉, 다이나믹 프로그래밍은 다음의 두 조건을 갖췄을 때만 사용가능하다.
1. 최적 부분 구조 (Optimal Substructure): 큰 문제를 작은 문제로 나눌 수 있다.
2. 중복되는 부분 문제 (Overlapping Subproblem): 작은 문제에서 구한 정답은 그것을 포함하는 큰 문제에서도 동일하다.

다이나믹 프로그래밍으로 해결할 수 있는 대표적인 문제로 피보나치 수열이 있다. 피보나치 수열은 현재의 항을 이전 두 개 항의 합으로 설정해 끊임없이 이어지는 수열을 말한다.

피보나치 수열은 위와 같이 점화식 형태로 만들어 간결하게 표현할 수 있다. 점화식이란 인접한 항들 사이의 관계식을 말한다. 따라서, 위 식은 n번째 피보나치 수는 (n - 1)번째 피보나치 수와 (n - 2)번째 피보나치 수를 합한 것이고 단, 1번째 피보나치 수와 2번째 피보나치 수는 1임을 의미한다.
이러한 피보나치 수열은 단순히 재귀함수만으로도 표현할 수 있다.
def fibonacci(n): if n == 1 or n == 2: return 1 return fibonacci(n - 1) + fibonacci(n - 2) print(fibonacci(4))하지만 재귀함수로만 구현한 경우, 시간복잡도가 O(2ⁿ)이 되어 n이 커질수록 수행 시간이 기하급수적으로 증가하기 때문에 심각한 문제가 발생한다.

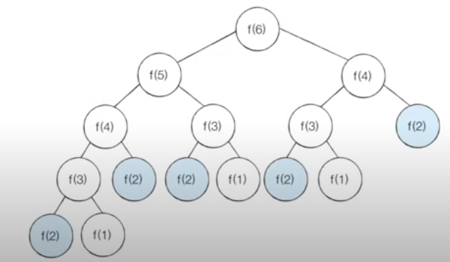
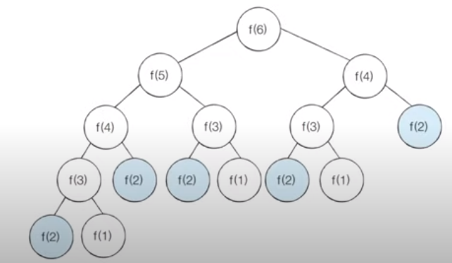
이는 중복되는 부분 문제로 살펴볼 수 있는데, f(6)을 호출하는 예시에서는 f(2)가 총 5번 중복으로 계산되는 것을 알 수 있다. 이렇게 중복되는 부분을 또 다시 계산하는 비효율성을 다이나믹 프로그래밍으로 극복할 수 있다.
다이나믹 프로그래밍은 크게 재귀 함수를 이용하는 탑다운(Top-Down) 방식과 반복문을 이용하는 바텀업(Bottom-Up) 방식으로 나뉜다. 먼저, 메모이제이션(Memoization) 기법(탑다운 방식)을 사용해 피보나치 수열을 해결해보자.
# 한 번 계산된 결과를 메모이제이션(Memoization)하기 위한 리스트 초기화 d = [0] * 100 # 피보나치 함수를 재귀함수로 구현 (탑다운 다이나믹 프로그래밍) def fibonacci(n): # 종료조건(1 혹은 2일 때 1을 반환) if n == 1 or n == 2: return 1 # 이미 계산한적 있는 문제라면 그대로 반환 if d[n]: return d[n] # 아직 계산하지 않은 문제라면 점화식에 따라서 피보나치 결과 반환 d[n] = fibonacci(n - 1) + fibonacci(n - 2) return d[n] print(fibonacci(99))메모이제이션이란 한 번 구한 결과를 메모리 공간에 기록해두고 같은 식을 다시 호출하면 기록한 결과를 그대로 사용하는 기법을 말한다. 캐싱(Caching)이라고도 부르는 이 방법은 특히 탑다운 방식을 이야기할 때 한정해서 쓰인다. (바텀업에서는 사용하지 않는 용어다.) 메모이제이션은 위의 코드처럼 한 번 구한 정보를 리스트에 저장하고 재귀적으로 다이나믹 프로그래밍을 수행하다가 같은 정보가 필요할 때, 구한 정답을 그대로 리스트에서 가져오도록 구현한다. 실제로 위 코드를 실행해보면 단순히 재귀로 구하는 것보다 훨씬 빠르게 답을 도출하는 것을 확인할 수 있다.
다음으로 다이나믹 프로그래밍의 전형적인 형태인 바텀업 방식으로 피보나치 수열을 구현해보자.
# 앞서 계산된 결과를 저장하기 위한 DP 테이블 초기화 d = [0] * 100 # 첫 번째 피보나치 수와 두 번째 피보나치 수는 1 d[1] = 1 d[2] = 1 n = 99 # 피보나치 함수를 반복문으로 구현 (바텀업 다이나믹 프로그래밍) for i in range(3, n + 1): d[i] = d[i - 1] + d[i - 2] print(d[n])일반적으로 바텀업 방식은 탑다운 방식보다 성능이 좋아 다이나믹 프로그래밍의 전형적인 방법으로 알려져 있다. 바텀업 방식에서 사용되는 결과 저장용 리스트를 DP 테이블이라고 부르며, 이 DP 테이블을 이용해 반복적으로 피보나치 수열을 구현한다.

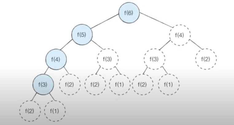
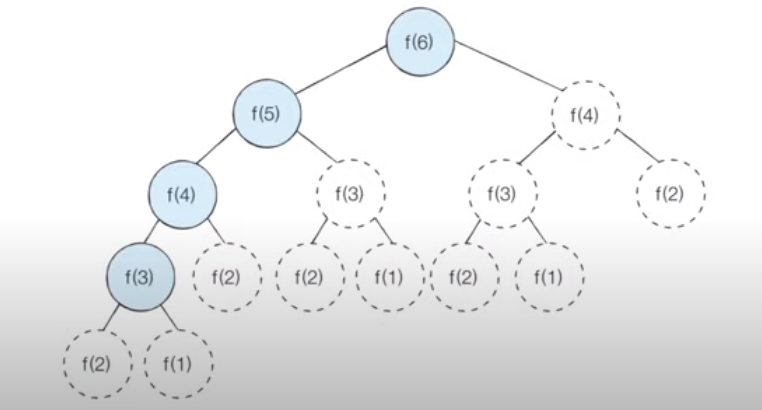
다이나믹 프로그래밍으로 f(6)을 호출하면 실질적으로 실행하는 것은 f(3), f(4), f(5), f(6)뿐이고 나머지는 기록한 정보를 가져오는 형태여서 큰 수행 속도 향상과 함께 O(N)의 시간 복잡도를 얻을 수 있다.
본 포스팅은 '안경잡이 개발자' 나동빈 님의 저서
'이것이 코딩테스트다'와 그 유튜브 강의를 공부하고 정리한 내용을 담고 있습니다.
'Computer Science > 자료구조 & 알고리즘' 카테고리의 다른 글
[알고리즘] 최단 경로 (Shortest Path) - 플로이드 워셜 (Floyd-Warshall) (0) 2021.01.04 [알고리즘] 최단 경로 (Shortest Path) - 다익스트라 (Dijkstra Algorithm) (0) 2020.12.19 [자료구조] 트리(Tree), 트리 순회(Tree Traversal)와 이진 탐색 트리(Binary Search Tree) (0) 2020.11.23 [자료구조] 우선순위 큐(Priority Queue)와 힙(Heap) (0) 2020.11.23 [알고리즘] 이진 탐색 (0) 2020.11.18